现在,在高中生的学习中,最普遍的大问题就是数学了,不仅仅是文科数学,理科更是如此。 高中数学真的是有那么难吗? 的确,特别是高中数学的第一次考试,一般都是对同学们打击最大的。 很多同学都觉得平时的作业也还完成得不错,考试的时候也觉得自己完成得不错,至少一百一二十分吧,但是最后结果只有六七十分,这都是非常常见的现象。 在上学期临期临近期末的时候,我在班上做了一次调查,问题就是看看同学们觉得最难的问题是什么,有接近百分之九十的同学都说,在高中数学的学习中,函数是最难的。 这一点从同学们平时的作业和考试答题情况也可以看出来。 函数题目考的最多的就是求取值范围了,但是很多同学都束手无策。 “老师,函数体重的取值范围怎么求?” “老师,判别式怎么用,什么情况下用?” “老师,高中数学中的函数题考题太多了,分分值也太大了,真的是丢不起,但是又觉得好难,总是学不会。” …… 关于高中数学函数的学习,同学们的问题真的是非常多,特别是还有很多同学,同样的问题就会反复问我好多遍,虽然每次讲到函数题目,我都会给同学生分析很多解题思路和方法,但是感觉同学们接受这些东西的样子真的是很有限的样子,我也只好不厌其烦的讲。 现在在暑假期间,也有很多的同学来问我一些关于高中数学中的函数部分的问题,同学们都想在这个假期能够把函数这些大难题解决掉。 为了帮助更多的同学更好地学习,我把高中数学的函数题目做了整理、归纳,一共10道题,这10道题都是高中数学函数中最常考的典型题目,同学们如果能够把这10道题目吃透的话,很多的问题自然就迎刃而解了。 接下来,我就将为大家做详细分析,希望大家在看的时候注意体会其中的解题思路和解题技巧的运用。 1、利用函数思想。 函数思想,即将原有的复杂函数进行构造转化,以达到相对简单的形式,这样更方便同学们进行计算、求解。 2、分离参数法。 在解决恒成立问题的时候,分离参数的方法是非常常用的,在运用到这个方法的时候,同学们要能够巧妙的设参数,要把原式简单化在进行取值的求解。 
3、判别式法。 判别式,是一种非常常用的方法,同学们要先确定该函数的定义域,然后用判别式来求值的范围,这个方法非常简单实用,如果同学们细心一点的话,基本上不会丢分。 
4、利用函数单调性。 如果已知某式恒大于某式的话,同学们就要求出前者的最小值和后者的最大值。如果是某式恒小于某式的话,同学们就要求出前者的最大值和后者的最小值。 

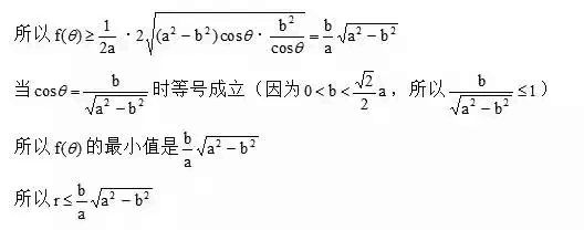
5、恒成立问题。 恒成立问题,在函数式中是非常常考的,同学们一定要掌握好这些题目的解决方法。今天将为大家分解两例。 (1)利用一元不等式在区间上恒成立的充要条件。 

(2)利用一元二次不等式在区间上恒成立的充要条件。 

6、待定系数法。 
7、不等式法。 

8、特值法。 

9、确立主元法。 

10、整体换元法。 
以上就是我总结的解决高中数学函数问题的10种方法,希望能够帮助同学们更好地学习高中数学函数,提高解题能力,考出好成绩。 一个好的学习方法,让孩子受益一生。 由于篇幅有限,今天先分享到这里。希望同学们一定要好好利用这份资料,把高中数学的函数问题研究透彻。只有这样,才能够克服高中数学中的函数问题,在考试中考出好成绩。 |